NN 桜蔭クラス算数土曜講座 12月・1月 国語女子のための 直前期 今から伸ばす 桜蔭中学算数戦略講座 2025年12
(3007件)
Pontaパス特典
サンキュー配送
6300円(税込)
63ポイント(1%)
Pontaパス会員ならさらに+1%ポイント還元!
送料
(
)
3002
配送情報
お届け予定日:2026.04.10 7:43までにお届け
※一部地域・離島につきましては、表示のお届け予定日期間内にお届けできない場合があります。
ロットナンバー
4573182179
お買い物の前にチェック!
Pontaパス会員なら
ポイント+1%
ポイント+1%
商品説明


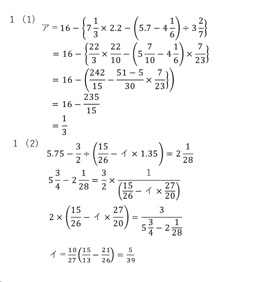
数学と図形の総合的な学習資料。- タイトル: NN 桜蔭クラス土曜講座 12月- 内容: 平面図形総合αなど- タイトル: NN 桜蔭クラス土曜講座 1月- 内容: 数演総合αなどご覧いただきありがとうございます。
| カテゴリー: | 本・雑誌・漫画>>>本>>>語学・辞書・学習参考書 |
|---|---|
| 商品の状態: | 傷や汚れあり","多くの人が見てわかるような傷や汚れがある |
| 配送料の負担: | 送料込み(出品者負担) |
| 配送の方法: | 佐川急便/日本郵便 |
| 発送元の地域: | 東京都 |
| 発送までの日数: | 2~3日で発送 |
レビュー
商品の評価:




5.0点(3007件)
- 栗7777394
- 耳鼻科に置いてあった本でした。めくって細かい仕組みを確認するので興味津津。 家に帰ってからも珍しく「あの本欲しい」と言ったので購入しました。 気づくとチラチラめくっては「へ〜〜」と楽しんでいます
- ザ・ベス
- 可愛い歌にインパクトのあるカバくん!保育園の子ども達が大好きな絵本です。
すべて見る
お店の情報
7,367
連絡・応対
4.3
配送スピード
4.3
梱包
4.3










